passivehouse.kcpc.com.cn 主办:住房和城乡建设部科技与产业化发展中心
国家玻璃质量监督检验中心 嵇书伟
1 引言
中空玻璃由于优越的节能性能,在建筑中得到了越来越广泛的应用。同时,随着建筑节能标准的逐步提高以及被动式建筑的推广应用,对中空玻璃节能特性的要求也逐步提高,Low-E玻璃的广泛使用,中空玻璃中充入氩气、氪气等惰性气体来改善隔热性能的产品也在逐年增加,这些中空玻璃配置的提升造成生产制造成本也在不断增加。图1给出了从单片玻璃到三玻两腔的各类典型配置和对应的传热系数K值。
然而,中空玻璃为人们提供的节能性能不应当仅是一个短期、静态的行为,而应是一种长期的和动态的概念。如果中空玻璃密封过早失效,不仅不节能,反而会造成能源更多地浪费,尤其是配置很高的中空玻璃产品。探讨如何提高中空玻璃的耐久性和密封寿命,使其长时间发挥节能作用,是材料生产商和玻璃生产企业及广大使用者一直以来关心的课题。
图 1 不同结构中空玻璃的K值比较
2 中空玻璃系统结构方式
2.1 中空玻璃密封方式的演变
中空玻璃的工艺进化源自密封技术的创新。图2给出了中空玻璃不同密封结构的发展历程。中空玻璃从19世纪的吹制及焊接发展到20世纪的胶封工艺后,才使中空玻璃的推广使用和工业化生产进入了一个新时代。
图2 中空玻璃不同密封系统的演变
胶封中空玻璃系统目前可以分为单道密封系统、槽铝式双道密封系统以及TPS双道密封系统。
大家熟悉的传统的槽铝式中空玻璃双道密封系统由于生产过程中使用的原材料比较多,其使用寿命与玻璃及边部材料(如间隔条、干燥剂、密封胶)的质量和中空玻璃在制作过程中的工艺水平和生产控制有直接关系。在我国,目前的中空玻璃国家标准GB/T11944-2012 中要求中空玻璃寿命要达到 15 年。然而,从目前的实际质量看,能达到15年的使用寿命还是有一定困难的,更不要说与建筑同寿命的要求。
2.2 热塑隔条(TPS)密封系统的特点
2.2.1 优良的暖边
中空玻璃的边部密封材料有铝条、钢及不锈钢材料、有机硅材料等,由于其材料本身的导热系数不同,在中空玻璃边部形成的热量传导也有很大差别。表1给出了用于中空玻璃不同类型材料的导热系数。
表1 不同材料的导热系数
| 材料 | 导热系数λ[W/(m ·K)] |
| 铝 | 160 |
| 钢 | 50 |
| 不锈钢 | 17 |
| 玻璃 | 1 |
| 硅胶 | 0.35 |
| TPS 材料(丁基胶类) | 0.3 |
由不同类别的材料构成边部密封系统,会产生不同的热传导效果,热塑隔条(TPS)抛弃了传统中空玻璃间隔条所采用的传热良好的铝、不锈钢等金属,用其制作的中空玻璃的线性热传导系数远远低于传统产品,阻隔了玻璃边缘的散热,从而提高了整窗的节能效果。图3是热成像下传统的槽铝式中空玻璃与热塑隔条TPS中空玻璃的比较,从图3可以看出,由于传统的边部密封系统采用铝等金属材料作为间隔材料,导热系数很高,导致热量容易从边部密封面积穿过中空玻璃,体现在边缘的温度较低。
图3 传统槽铝式中空玻璃与TPS中空玻璃的热成像对比
随着人们生活质量的提高,对居住环境的舒适性要求也越来越高,热塑隔条(TPS)密封系统带来的暖边效应有利于稳定室内温度,降低空气对流,能提供更加舒适的室内环境。由于暖边系统的存在,也会降低窗玻璃边缘水雾的凝聚,同时也降低了窗框的维护费用(如图4、图5)。
图4 传统槽铝式中空玻璃与TPS中空玻璃的
图5 传统槽铝式中空玻璃窗与 TPS 中空玻璃窗边和室内温度的比较
2.2.2 低的水汽透过率
热塑隔条(TPS)采用了特殊丁基胶混合分子筛直接挤出成型,密封材料的一致性较好。同时,由于热塑隔条还能与玻璃及硅酮胶形成亲密无间的化学粘接,使中空玻璃结构更稳定、粘接更牢固。表2给出了不同密封材料的水汽和气体透过率,可以看到丁基胶材料比硅酮胶和聚硫胶有更好的水汽和气体阻隔能力,会形成更好的屏障阻隔水汽的进入和气体的泄露,有利于长期保持中空玻璃的密封性能,从而保证节能性能(如图6)。
图6 热塑隔条(TPS)系统的粘接示意
表2 不同密封材料的水汽和气体透过率
| 材料 | 气体透过率 g/(m224h) | 水汽透过率 g/(m224h) |
| 聚硫胶 | 0.03-0.1 | 5-10 |
| 硅酮胶 | ≥ 20 | 15-20 |
| 丁基胶 | 0.002-0.005 | ≤ 0.9 |
2.2.3 生产过程全自动
热塑隔条(TPS)系统中空玻璃的生产是采用全自动的机器生产从玻璃的上片、玻璃的除膜清洗烘干、热塑胶条涂覆、充气合片及外道胶涂覆由自动化系统一次完成,避免了人工操作可能带来的失误和不一致,做到了拐角密封的高度均匀性,彻底消除了传统槽铝式中空玻璃的拐角压合密封不良,而且适合生产任意类型和尺寸形状的中空玻璃(如图 7)。
图7 热塑隔条(TPS)系统中空玻璃的边部粘接
3 中空玻璃密封寿命探讨
3.1 使用环境对中空玻璃的影响
如图8所示,中空玻璃在使用时会受到各种外界因素的影响
图8 中空玻璃使用过程中的环境影响因素
尤其是由于环境温度压力的经常变化,中空玻璃中空腔内气体始终处于热胀或冷缩状态如图9所示,使密封胶长期处于受力状态。对于传统双道密封系统,这种力的作用会导致密封胶的变形和功能的丧失,环境中的水气会不断从中空玻璃的边部向中空腔内渗透。同时,环境中的紫外线、水和其他腐蚀气体的作用都会加速密封胶的老化,从而加快水汽进入中空腔内和充入的氩气逸出的速度。这种水汽渗透随时都在发生,边部密封系统中的干燥剂会因不断吸附水分子而最终丧失水汽吸附能力,导致中空玻璃中空腔内水汽含量升高而密封失效,导致节能效果降低。由于热塑隔条密封系统具有一定的弹性,在环境变化时能使边缘应力有效释放,同时热塑隔条有更高的内聚力,来抵御载荷带来的变化保证密封结构的稳定。
图9 传统槽铝式中空玻璃与热塑隔条(TPS)系使用中的变化示意
对于全新节能建筑概念的被动房玻璃普遍使用的三玻两腔中空玻璃来说(如图10),由于其两侧的玻璃会受到另一个腔的作用而产生更大的应力,从而导致丁基胶的变形、降低第一道密封的作用、增加水汽的通道,使中空玻璃更快地失效,热塑隔条的密封优势会体现得更明显。
图10 三玻两腔中空玻璃环境影响下的密封胶变化示意
3.2 影响中空玻璃寿命的因素
GB50096-2011《住宅设计规范》标准中的要求,建筑物的寿命应不少于50年。门窗幕墙作为建筑的重要组成部分,其使用的中空玻璃的使用寿命已经引起业内人士的关注,在GB/T11944-2012《中空玻璃》标准的附录A“中空玻璃失效原因及使用寿命”中提到,中空玻璃的预期使用寿命至少应为15年。但目前国内中空玻璃的整体密封使用寿命还较低,一般生产企业10年的质保都不敢承诺,所以,我们离标准要求和建筑使用要求还有较大的差距。
上文提到,中空玻璃的使用寿命与边部材料(如间隔条、干燥剂、密封胶)的质量和中空玻璃的制作工艺有直接关系。中空玻璃使用寿命的长短,也受安装状况、使用环境的影响。
3.1 中我们介绍了外部环境对中空玻璃使用寿命的影响,除了外部因素外,影响中空玻璃寿命的因素还有哪些呢?边部密封的好坏直接关系到中空玻璃的密封耐久性,使用低水汽和气体透过率的密封胶是关键,从前面的分析中我们看到,热塑隔条(TPS)具有非常优异的水汽和气体阻隔能力,用于中空玻璃边部密封会提高中空玻璃的密封耐久性。
以三玻两腔中空玻璃系统为例,我们从图11可以看到传统槽铝式中空玻璃密封胶与玻璃以及间隔材料之间形成了8个粘接界面,而热塑隔条(TPS)密封只会与玻璃形成4个粘接界面。从目前国内中空玻璃制作水平和我们长期的检测情况分析来看,密封胶与玻璃和间隔材料的粘接不良是导致水汽和气体通过的主要路径,也就是说在密封材料水汽和气体透过率一致的情况下,热塑隔条密封系统由于粘接面的减少而降低了水汽和气体的透过通道,来达到中空玻璃的长期耐久性。
图11 不同中空玻璃密封粘接界面分析
3.3 目前国内中空玻璃质量状况
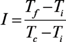
中空玻璃国家标准中用水分渗透指数(I)表示中空玻璃的水汽密封寿命。标准规定,I 值的平均值应大于 0.2;用耐久性试验后的氩气含量的数值来表示气体密封寿命。
Ti干燥剂初始水分含量
Tf干燥剂最终水分含量
Tc干燥剂标准水分含量
什么是水分渗透指数I值?I值是指在耐久性试验中外界的水汽进入中空玻璃的量与其有效吸附量的比值。水分渗透指数I值能反映中空玻璃密封系统的剩余吸附能力和预期使用寿命;能够综合评价中空玻璃系统。I值越小,中空玻璃的剩余吸附能力越大,密封寿命越长。
国家玻璃质量监督检验中心对近两年国内300多个中空玻璃水汽密封耐久性试验结果进行了统计分析,I值的分布示意如图12所示,I值的中位值接近15%,I值大于20%的约占15%。
图12 国内中空玻璃 I 值统计
在本世纪初,欧洲中空玻璃协会UNI对欧洲中空玻璃产品的水汽密封耐久性的测试结果进行了统计分析(如图 13),从图13可以看出其中位值在4%~5%之间,从两个统计结果可以看出,国内目前的中空玻璃整体密封寿命与国外相比还有不小的差距。
图13 UNI 欧洲中空玻璃 I 值统计
近两年,被动房玻璃质量状况也备受关注,表3是国家玻璃质量监督检验中心近年对三玻两腔中空玻璃的水汽密封耐久性的测试结果。从表3可以看出,不同企业生产的中空玻璃的质量差距比较大,总体质量水平还有待于提高,如果这样的玻璃应用于被动式建筑,是远远达不到与建筑同寿命的要求的。解决这个问题应该从材料和工艺入手,同时也要寻求更先进的密封结构。
表3 三玻两腔中空玻璃水汽密封耐久性测试结果
| 产品编号 | 产品结构 | Ti | Tf | Iav |
| 1 | 三玻两腔(刚性暖边) | 0.0270 | 0.0537 | 0.161 |
| 2 | 真空复合中空(刚性暖边) | 0.0418 | 0.0494 | 0.050 |
| 3 | 三玻两腔(刚性暖边) | 0.0286 | 0.0492 | 0.125 |
| 4 | 真空复合中空(刚性暖边) | 0.0350 | 0.0529 | 0.128 |
| 5 | 三玻两腔(刚性暖边) | 0.0210 | 0.0466 | 0.140 |
| 6 | 三玻两腔(刚性暖边) | 0.0180 | 0.0591 | 0.233 |
| 7 | 三玻两腔(刚性暖边) | 0.0120 | 0.0254 | 0.074 |
| 8 | 三玻两腔(刚性暖边) | 0.0268 | 0.0529 | 0.154 |
| 9 | 三玻两腔(刚性暖边) | 0.0293 | 0.0471 | 0.107 |
| 10 | 三玻两腔(刚性暖边) | 0.0272 | 0.0302 | 0.019 |
| 11 | 三玻两腔(刚性暖边) | 0.0312 | 0.0410 | 0.053 |
| 12 | 三玻两腔(刚性暖边) | 0.0460 | 0.0803 | 0.195 |
| 13 | 三玻两腔(刚性暖边) | 0.0436 | 0.0721 | 0.180 |
| 14 | 三玻两腔(刚性暖边) | 0.0317 | 0.0583 | 0.159 |
| 15 | 三玻两腔(刚性暖边) | 0.0196 | 0.0324 | 0.089 |
4 热塑隔条 (TPS) 密封系统中空玻璃测试分析
最早的热塑隔条(TPS)中空玻璃系统是1974年在科梅林公司诞生的,工业化生产是20 世纪90年代以后,目前全球有大约100多条TPS生产线。国内也有多条热塑隔条TPS 中空玻璃生产线在运行,最早的生产线在 2011年投产,热塑隔条中空玻璃以及具有结构强度的新一代TPS产品4SG已经在结构幕墙、商用建筑、住宅建筑、大巴、汽车等领域得到了初步认可和应用。
热塑隔条(TPS)系统自问世以来,通过了全球多个国家相关标准的检测认证,其中主要有日本JIS R3209《中空玻璃》、欧标EN1279-2《中空玻璃水汽渗透长期试验方法》、欧标EN1279-3《中空玻璃气体渗透的长期试验方法》、欧标EN1279-4《中空玻璃边缘密封物理特性的测试方法》、北美ASTM773/774、法国NFP78-451/452、意大利UNI10593、德国DIN1286等标准。
该密封系统中空玻璃也是最早通过EN1279.3气体保持能力测试的三玻两腔中空玻璃系统,其年氩气泄漏率分别为0.4%~0.5%。
为了研究分析热塑隔条系统中空玻璃的性能以及验证其耐久性的优势,国家玻璃质量监督检验中心选取了科梅林公司生产热塑隔条4SG产品,用道康宁硅酮结构胶作为外道密封胶,使用百超全自动生产线制作了充气中空玻璃样品。按照GB/T11944-2012标准中的水汽密封耐久性和气体密封耐久性分别进行了5个标准周期的测试。
(1)水汽密封耐久性
每个周期的测试分别由高低温交变循环和恒温恒湿组成。第1阶段:56个循环,每12小时为一个温度循环,温度从-18℃±2℃~ 53℃±1℃;第2阶段:温度在58℃±1℃、相对湿度大于95%的环境温度保持7周,每个周期是77天(如图14)。
图14 水汽密封耐久性循环周期
本次测试将5组试样放入老化试验箱,每个周期完成后取出一组进行最终水分含量的测试并计算I值。结果见表4。
(2)气体密封耐久性
首先,对进行耐久性检测的中空玻璃测试初始氩气含量,结果见表 5。
表 4 热塑隔条(4SG)5个周期耐久性测试结果
| 周期 | 干燥剂最终水分含量Tf(%) | 水分渗透指数I(%) | Iav(%) |
| 1周期 | 0.20 | 3.70 | 2.86 |
| 0.17 | 2.69 | ||
| 0.14 | 1.68 | ||
| 0.19 | 3.37 | ||
| 2周期 | 0.39 | 10.1 | 4.63 |
| 0.10 | 0.34 | ||
| 0.24 | 5.05 | ||
| 0.18 | 3.03 | ||
| 3周期 | 0.27 | 6.06 | 5.3 |
| 0.28 | 6.40 | ||
| 0.11 | 0.67 | ||
| 0.33 | 8.08 | ||
| 4周期 | 0.37 | 9.43 | 10.18 |
| 0.32 | 7.74 | ||
| 0.35 | 8.75 | ||
| 0.53 | 14.81 | ||
| 5周期 | 0.44 | 11.78 | 12.12 |
| 0.42 | 11.11 | ||
| 0.45 | 12.12 | ||
| 0.49 | 13.47 |
| 样品编号 | 初始氩气含量(% V/V) |
| 1#
| 93.7%
|
| 2#
| 93.0%
|
其次,按照GB/T11944 -2012中的测试方法,对 样品进行了5个周期的测试,每个周期结束后进行了氩气含量的检测,检测结果见表6。
表6 样品老化后的氩气含量测试结果
| 周期 | 样品编号 | 最终氩气含量(% V/V) |
| 1 周期 | 1# | 92.8 |
| 2# | 92.2 | |
| 2 周期 | 1# | 91.9 |
| 2# | 91.3 | |
| 3 周期 | 1# | 91.2 |
| 2# | 90.5 | |
| 4 周期 | 1# | 90.4 |
| 2# | 89.7 | |
| 5 周期 | 1# | 89.6 |
| 2# | 89.0 |
从测试结果看,该种热塑隔条(4SG)系统中空玻璃经过5个标准规定的老化周期的测试后,不论是水分渗透指数还是氩气含量均仍然可以达到国家标准的要求,水分渗透指数在5个周期后测试结果好于目前国内传统密封结构的标准周期的测试结果,气体含量只下降了4%左右,说明这个系统中空玻璃的使用寿命会远远长于目前国内的主流密封结构中空玻璃。
5 结语
从理论分析到测试结果都表明,热塑隔条(TPS)是新一代的中空玻璃边部密封材料,该中空玻璃系统能够提高中空玻璃的密封寿命,改善中空玻璃的边缘效应,应该大力推广。但目前不论是热塑隔条密封材料还是生产该密封结构中空玻璃的全自动生产设备均为进口,价格是制约热塑隔条(TPS)中空玻璃推广应用的主要原因之一。目前,国内还停留在设备研发和材料研究的阶段,没有实现工业化生产。随着人们对热塑隔条中空玻璃优越性能认识的增加,国产化研究和产业化水平的进一步提升,它的应用前景将越来越广泛。
参考文献:
[1]秦皇岛玻璃工业研究设计院,GB/T11944-2012《中空玻璃》,中国标准出版社。
[2] Dr.Chritian Scherer,Ernst Smar etc,A new warm edge system with superiorenergy efficiency and durability,GPD Glass Performance Days 2015。
[3]李晶,幕墙用创新型隔条密封系4SG,2017中国玻璃年会演讲。
[4] 袁培峰等,热塑性暖边中空玻璃的性能优势,2017年中国玻璃行业年会暨技术研讨会论文集。
欢迎订阅《建筑科技》杂志(半月刊)
国内邮发代号:2-543
账 号:020 004 930 920 107 2985
单位全称:北京康居认证中心
定 价:15元/本
开户银行:中国工商银行股份有限公司四道口支行
邮 箱:kcpc409@126.com
联系电话:010-88082199、010-88082202
